APEMOL - ASSOCIAÇÃO PERNAMBUCANA DE MEDICINA E ODONTOLOGIA LEGAL   

FORENSE 2000

XVI Congresso Brasileiro de Medicina Legal
VII Congresso Brasileiro de Ética Médica
V Congresso Brasileiro de Odontologia Legal
II Congresso Luso-brasileiro de Medicina Legal
I Congresso Brasileiro de Direito Médico

ANAIS FORENSE 2000

Comissão | Mensagem | Programa | Fotos

Medicina Legal | Odontologia Legal | Direito Médico

IBEMOL - Códigos | Dec. Direitos | Forense98 | CID10 | IML | Prontuário | Biosseg. | I. Digital | Soft. | Artigos   

 

ESTIMATIVA DO TEMPO DE MORTE, ATRAVÉS DA ANÁLISE DO ESFRIAMENTO CORPORAL E SUA IMPORTÂNCIA PERICIAL

 

Luís Renato da Silveira COSTA*

Médico Legista do Departamento Médico Legal de Vitória – ES
Professor de Medicina Legal do Curso de Direito do Centro de Ciências Sociais de Vila Velha – ES
Professor de Deontologia Médica da Escola de Medicina da Santa Casa de Misericórdia de Vitória – ES
Mestre em Ciências – Área de Odontologia Legal e Deontologia – FOP / UNICAMP – SP
Doutor em Ciências – Área de Odontologia Legal e Deontologia – FOP / UNICAMP – SP

 

COSTA, L.R.S. Estimativa do tempo de morte, através da análise do esfriamento corporal e sua importância pericial.

RESUMO: O autor, neste trabalho, analisa o comportamento da temperatura corporal após a morte, estabelecendo parâmetros que possam orientar os peritos, nas situações em que a determinação do tempo de morte se fizer necessária. Observou a variação da temperatura corporal em 42 (quarenta e dois) cadáveres não identificados, vítimas de morte violenta que faleceram em um Pronto Socorro de Urgências de Vitória - ES e que posteriormente foram encaminhados ao Departamento Médico Legal de Vitória (DML), dos quais se conhecia a hora da morte. Foi feito um acompanhamento das variações da temperatura corporal e da temperatura ambiente, através da medição via retal, utilizando-se um termômetro de mercúrio. Os resultados obtidos foram submetidos à análise matemática e à análise estatística.

UNITERMOS: Tanatologia, Cronotanatognose, Temperatura corporal.

 


1. Introdução

A morte, segundo ALCÂNTARA, é "a cessação completa e definitiva das funções auto-conservadoras, renovadoras e multiplicadoras da matéria orgânica que perde, assim, suas propriedades vitais".

CARVALHO a define como "a desintegração irreversível da personalidade, em seus aspectos fundamentais morfo-fisiológicos, de molde a fazer cessar a unidade bio-psicológica, como um todo funcional e orgânico".

Para SIMONIN, "a morte constitui um processo que se inicia nos centros vitais cerebrais ou cardíacos e se propaga, progressivamente a todos os órgãos e tecidos, ocorrendo inicialmente a morte funcional e depois a morte tissular".

Até recentemente aceitava-se a morte como o cessar total e permanente das funções vitais. Atualmente, este conceito foi ampliado a partir do conhecimento de que a morte não é um puro e simples cessar das funções vitais, mas sim uma gama de processos que se desencadeiam durante um período de tempo, comprometendo diferentes órgãos, CROCE & JÚNIOR.

Dois conceitos de morte prevalecem hoje: a morte cerebral, indicada pela cessação da atividade elétrica do cérebro e a morte circulatória, indicada por parada cardíaca irreversível às manobras de ressuscitação e outras técnicas.

Independentemente do critério adotado para a caracterização da morte, o que se procura determinar, na prática, são os sinais indiscutíveis de morte: a cessação dos fenômenos vitais e o surgimento dos fenômenos ditos abióticos ou avitais (imediatos e consecutivos).

Relacionados entre os fenômenos abióticos imediatos, ou seja, aqueles que ocorrem imediatamente após a morte estão: a perda da consciência, a cessação dos batimentos cardíacos com conseqüente ausência de pulso, a cessação da respiração, a perda da sensibilidade cutânea, a abolição do tônus muscular e o relaxamento dos esfíncteres.

Entre os fenômenos abióticos consecutivos, assim chamados os que se seguem à morte, registram-se: a rigidez e o espasmo cadavéricos, os livores de hipóstase, o dessecamento e o esfriamento corpóreo.

Outras alterações orgânicas, essencialmente de natureza bioquímica, são descritas entre os fenômenos consecutivos à morte: a formação dos gases de putrefação, o aparecimento da mancha verde abdominal, o aparecimento dos cristais de Westenhoffer-Rocha-Valverde no sangue putrefeito, as modificações do ponto de congelação (crioscopia) do sangue, o crescimento dos pêlos da barba, o estudo do conteúdo estomacal e do conteúdo vesical, as alterações observadas ao exame de fundo de olho, as alterações bioquímicas do líquido cefalo-raquiano, as modificações da pressão intra-ocular, além das variações de concentração do íon potássio e de outras substâncias no humor vítreo.

RODRIGUES, A.C., em sua tese de livre-docência, estudou o tempo da morte pela tonometria do globo ocular. Após a morte, há perda de líquido ocular, com diminuição da pressão do globo, que sofre uma retração característica. O autor conseguiu medir, indiretamente, o volume perdido, injetando água na câmara anterior do olho até obter aspecto normal. Com apropriada técnica estatística, relacionou o volume injetado (equivalente ao perdido) com o tempo de morte, e elaborou uma tabela para consulta e verificação indireta.

Todos estes fenômenos são passíveis de estudo, quando o diagnóstico cronológico da morte (cronotanatognose ou tanatocronodiagnose) se faz necessário; entretanto, a maioria das alterações bioquímicas requer, para sua caracterização e sistematização aparelhos especiais e técnicas próprias, recursos estes nem sempre à disposição da maioria dos serviços periciais do país.

Um dos mais interessantes assuntos em medicina forense é o estudo do tempo decorrido de morte, quando se busca, através de análises e avaliações diversas, estimar com maior precisão este período.

Na prática pericial, várias são as situações em que se torna necessário estimar o tempo decorrido de morte, como forma de atender aos questionamentos da Justiça.

Na esfera civil, não raramente há necessidade de determinar quem morreu primeiro, se o pai ou o filho pois, na dependência da ordem de falecimento, uma herança pode ir para uma ou outra família.

O artigo 11o. do Código Civil Brasileiro estabelece: "Se dois indivíduos falecerem na mesma ocasião, não se podendo averiguar se algum dos comorientes precedeu ao outro, presumir-se-ão simultaneamente mortos".

Na área criminal, seja para confirmar ou contestar álibis, seja com a finalidade de se estabelecer a dinâmica do fato criminoso, ou ainda para que se possa tentar reconstituir os últimos passos da vítima, também o perito é chamado a estimar a hora da morte.

É comum, nos filmes policiais, o perito afirmar, com absoluta precisão, o tempo de morte, lançando mão apenas dos seus sentidos, como a visão e o tato. Entretanto, rotineiramente, este profissional depara-se com uma enorme dificuldade em tal caracterização, em virtude da inespecificidade dos dados habitualmente analisados, em sua maioria de avaliação qualitativa, permeados, portanto, de grande subjetividade.

Segundo KNIGHT, o perito de hoje passou a contar com recursos mais específicos para esta análise, como: tabelas de esfriamento corpóreo, dosagens bioquímicas dos fluidos orgânicos, tabelas de avaliação da excitabilidade muscular, entre outros. Mesmo que o profissional pudesse utilizar, em sua atividade pericial, todos esses dados, ainda seria difícil estimar, com absoluta precisão, a hora da morte, tantas são as variáveis a interferir na evolução dos fenômenos cadavéricos, GOMES.

A cronotanatognose desperta hoje, entre os profissionais que se dedicam à ciência legispericial, grande interesse.

Dentre os fenômenos que permitem uma avaliação mais aproximada da hora real da morte e que tem sido habitualmente utilizados, destacam-se, principalmente, a rigidez cadavérica, os livores de hipóstase e o esfriamento corporal.

A rigidez cadavérica, é um fenômeno cadavérico consecutivo, constituindo-se em sinal preciso de morte, mas que possui valor relativo e limitado quando se objetiva a determinação da hora da morte, por ser avaliada através de critérios qualitativos.

No estudo da cronotanatognose, a rigidez cadavérica não deve ser considerada isoladamente.

Os livores ou manchas de hipóstase, por sua vez, são originados pela deposição de sangue nas partes declivosas do cadáver.

Estudos mostram que a análise dos livores, seu aparecimento e fixação, pode contribuir, de alguma forma, no estudo da cronotanatognose, constituindo-se, também, em método complementar, sujeito à possíveis falhas em sua caracterização, devido à subjetividade que permeia esta avaliação.

Esfriamento corpóreo:

A temperatura interna do organismo vivo permanece, quase sempre constante, com pequenas variações (0,4 a 0,6° C), GUYTON.

Os mecanismos que garantem a manutenção da temperatura interna, representam um sistema extremamente organizado, comandado por um centro regulador localizado no hipotálamo.

Além de neurônios sensíveis ao calor, participam do processo outros receptores térmicos localizados na pele (receptores cutâneos) e em alguns órgãos do corpo (receptores viscerais).

A superfície corporal tem uma importância muito grande no controle termo-regulador, posto que é através desta superfície que ocorrem as trocas de calor com o meio ambiente, através dos processos físicos de radiação, condução, convecção e evaporação.

As mensurações realizadas em pessoas sadias, mostram que existe uma faixa de temperatura que pode ser considerada normal, faixa esta compreendida entre 36° C e 37° C (medição via axilar).

Quando se mede a temperatura por via retal, o valor obtido é aproximadamente 1oC mais alto que a temperatura tomada através da medição via axilar e 0,5oC mais alto que a temperatura tomada através da mucosa oral.

A temperatura do corpo é mantida pelo equilíbrio entre a produção interna de calor e as perdas para o meio ambiente. Uma série de reações químicas participa ativamente deste processo.

Sem o metabolismo e suas reações químicas exotérmicas nossa temperatura seria semelhante à do meio ambiente, pois as perdas estão sempre ocorrendo por irradiação, convecção e condução, GOMES.

Com a morte, cessado o metabolismo, o corpo humano tende a estabelecer um equilíbrio térmico com o meio ambiente. Entretanto, a temperatura corporal não se reduz imediatamente, podendo até aumentar no período imediato à morte, devido à manutenção de alguns processos metabólicos, visto que alguns tecidos morrem de forma gradativa.

No cadáver, a perda de temperatura por evaporação é mínima, prevalecendo no esfriamento a perda por convecção e por irradiação. A condução também participa contribuindo para o esfriamento. Sabe-se, portanto, que o cadáver não se comporta como um corpo físico homogêneo, sob o ponto de vista térmico.

Por outro lado, a depender do local do corpo onde é realizada a medição da temperatura, pode-se encontrar curvas de esfriamento diferentes.

Diversos outros autores, em compêndios, referem-se ao esfriamento corporal como sendo um dos principais processos orgânicos passíveis de análise, no estudo da cronotanatognose, estabelecendo valores para cálculo, sem considerar as variáveis sabidamente existentes.

O esfriamento corporal como fenômeno físico, assume na cronotanatognose uma importância significativa, posto que, dentre os processos consecutivos à morte, é um dos poucos que permite uma análise quantitativa, através de medição sistematizada e de fácil aplicação, permitindo o registro das variações de temperatura a intervalos regulares, apesar do conhecimento de que o esfriamento corpóreo pode ser influenciado por diversos fatores: a temperatura e a umidade do ambiente, o arejamento, a temperatura do corpo no momento da morte, o tipo de vestuário, o estado de nutrição anterior à morte, a posição em que se encontra o cadáver, entre outros.

Em que pese todas as situações que sabidamente interferem no esfriamento corporal, acreditamos que seu estudo, desde que aplicado às condições climáticas locais e mediante um mínimo de sistematização, torna-se de fundamental importância na estimativa do tempo decorrido de morte, não devendo constituir-se em método único de análise, e sim em parâmetro auxiliar às demais avaliações que se enquadram no escopo da cronotanatognose.

 

2. Proposição

Com relação ao estudo da cronotanatognose, e mais especificamente no que diz respeito à importância da análise do esfriamento corporal, a maioria dos registros constantes na literatura especializada, apesar de estabelecerem valores médios de decréscimo da temperatura a intervalos regulares (por hora), não fazem referências às situações em que tais valores foram obtidos, tampouco à metodologia utilizada.

Não constam dos registros encontrados referências às temperaturas dos locais analisados.

Considerando a importância da determinação da hora da morte em várias situações periciais; considerando que dentre os sinais que constituem os clássicos fenômenos abióticos consecutivos o esfriamento corpóreo é um dos que permitem uma análise quantitativa através da medição da temperatura corporal; considerando a lacuna ainda existente sobre o assunto em nossa região e no Brasil, este estudo teve por objetivo:

  • avaliar a importância real da análise da queda da temperatura corporal após a morte no estudo da cronotanatognose;
  • estimar a queda média da temperatura corporal após a morte em regiões de clima quente, com temperatura ambiente compreendida entre 20 e 30o C.
  • desenvolver, a partir dos dados coletados, uma metodologia própria, de fácil aplicação em qualquer Serviço Médico Legal, que permita a estimativa do tempo decorrido de morte através do esfriamento corporal considerando a temperatura ambiente, fator que influencia fortemente o comportamento da temperatura corporal após a morte.

3. Materiais e métodos

Materiais:

  • Amostra estudada;
  • Termômetro.

Foram analisados 42 (quarenta e dois) corpos de indivíduos não identificados, vítimas de morte violenta, que vieram a óbito em um Pronto Socorro de Urgências de Vitória – ES, e que posteriormente foram encaminhados para necrópsia médico-legal, no período de abril a outubro de 1998. O estudo foi inicialmente realizado no Pronto Socorro, onde foi registrada a temperatura retal e a temperatura ambiente por ocasião da morte. As medições foram feitas por enfermeiras do Centro de Tratamento Intensivo do Hospital, estando os pacientes monitorados. A avaliação teve continuidade no Departamento Médico Legal de Vitória – ES.

Como padronização, foram estudados corpos de indivíduos do sexo masculino, adultos, com faixa etária estimada entre 20 (vinte) e 50 (cinquenta) anos e com peso corporal compreendido entre 70 (setenta) e 100 (cem) quilogramas.

O aparelho utilizado para proceder as medições foi um termômetro de mercúrio, de haste longa, cilíndrico, graduado de -10 a 200o C.

Métodos:

  • Medições realizadas;
  • Registro das medições;
  • Análise matemática dos dados;
  • Análise estatística dos dados.

A medição da temperatura corporal foi feita por via retal, por ser esta uma via que sofre menor influência das variações climáticas ambientais, SIMONSEN.

Foi registrada a temperatura retal no momento da entrada do corpo no Departamento Médico Legal (sala de necrópsias), com realização posterior de 03 (três) medições seqüenciais a intervalos de 01 (uma) hora.

Medição da temperatura retal: cadáveres em decúbito dorsal, em maca de aço inox, sem roupa, sem serem lavados. O termômetro foi introduzido no ânus a uma profundidade de 5,0 (cinco) centímetros, fazendo-se a leitura após 05 (cinco) minutos.

Para a medição da temperatura da sala de necrópsia foi utilizado o mesmo termômetro, também exposto durante 05 (cinco) minutos, com leitura posterior.

As medições foram anotadas em ficha específica de registro de temperatura, posteriormente submetidas a estudo matemático e a estudo estatístico.

 

4. Discussão dos Resultados

A estimativa do tempo decorrido de morte é tema de estudo por parte de cientistas e peritos de todo o mundo, seja valorizando observações clínicas ou mediante técnicas bioquímicas, na dependência dos recursos disponíveis em cada região.

Na literatura, constata-se que, o estudo da temperatura corporal após a morte, não é recente. Vários pesquisadores realizaram experiências, constatando que a temperatura ambiente é um dos fatores que mais interfere nesta análise, podendo ocorrer elevação de temperatura quando a esta for superior à temperatura corporal (aquecimento), sendo seu registro importante na estimativa do tempo decorrido de morte antes que ocorra o equilíbrio térmico, ou seja, nas primeiras horas que se sucedem à morte.

Os resultados do presente estudo mostram que existe uma forte relação linear entre a variação da temperatura corporal e o tempo decorrido de morte, o que vem caracterizar a importância desta análise na cronotanatognose.

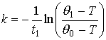
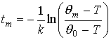
Uma fórmula matemática de cálculo foi obtida a partir de uma lei física, a Lei de Newton do esfriamento, e valoriza uma variável importante, a temperatura ambiente. Por considerar também duas medições de temperatura em intervalo de tempo conhecido esta fórmula pode ser aplicada em um grande número de situações. Assim, havendo necessidade de se estimar a hora provável da morte, ao se examinar um corpo, e desde que sejam registradas: a temperatura corporal no tempo zero, a temperatura corporal em um determinado intervalo de tempo e a temperatura ambiente, será possível obter um valor médio (em horas), ao qual deverá ser aplicada a variância de 30 % para mais ou para menos, o que corresponde ao índice de erro máximo encontrado na amostra estudada. Considerando que esta fórmula utiliza dois valores conhecidos de temperatura, sua aplicação independe da escala utilizada, desde que não ocorram variações significativas no ambiente, ou seja, desde que as duas medições sejam realizadas no mesmo local.

Apesar do estudo ter considerado a temperatura corporal medida por via retal, na aplicação do cálculo pode ser também utilizada a temperatura axilar, considerando como temperatura média corporal 36,7oC.

Constitui-se o presente trabalho em uma contribuição à disciplina de Medicina Legal e Odontologia Legal, ampliando as observações no campo da Tanatologia, estudo dos fenômenos da morte.

 

5. Conclusões

O estudo da cronotanatognose, nas primeiras horas que se sucedem à morte, quando se lança mão da análise dos fenômenos abióticos consecutivos, é extremamente importante; reveste-se, porém, de grande complexidade, devido à gama de fenômenos químicos e físicos envolvidos.

O estudo em questão permitiu as seguintes conclusões:

1. O modelo de regressão linear estimado representa a relação de função entre o tempo de morte e a temperatura corporal, constituindo-se em ferramenta de fundamental importância no estudo.

2. O valor do coeficiente de correlação linear encontrado (r = 0,9791) indicou uma forte relação linear entre as variáveis, confirmando que o modelo de regressão, ajustado aos dados, explica bem a relação de dependência entre o tempo de morte e a temperatura corporal, sendo aceitável estatisticamente.

3. O método matemático para a determinação do tempo decorrido de morte apresenta um erro menor que 30%, quando comparado com dados reais, o que valida sobremaneira sua aplicabilidade, e permite estimar, com boa precisão, este intervalo (dos casos estudados, 66,6% apresentaram erro inferior a 10% e 80,9% apresentaram erro inferior a 20% ).

4. Na amostra estudada, em ambientes com temperatura variável entre 20 e 30oC, a queda média da temperatura corporal, observada na primeira hora após a morte, situou-se na faixa de 0,9 a 1,0oC e nas horas subsequentes entre 0,6 e 0,7oC.

5. Foi possível a elaboração de uma fórmula matemática para a estimativa do tempo decorrido de morte (tm), a partir das seguintes variáveis: temperatura ambiente (T) ; temperatura corporal média ( = 37,7 via retal e 36,7 via axilar) ; primeira temperatura medida após a morte () ; segunda temperatura medida após a morte () ; diferença do tempo decorrido, em horas, entre a primeira e a segunda temperatura medida após a morte () .

             onde         

e ln = logaritmo natural ou neperiano.

A fórmula considera a temperatura ambiente uma variável, podendo ser aplicada em qualquer região, independentemente da escala adotada (oC, oF ou oK).

Para facilitar a utilização desta fórmula, foi desenvolvido um "software", que permite um cálculo direto, a partir dos dados coletados. Os cálculos levam a um valor absoluto, em horas, ao qual deverá ser aplicado um índice de variância de 30% para mais ou para menos.

6. A tomada da temperatura corporal com a finalidade de se estimar o tempo decorrido de morte deve constituir-se em método auxiliar na cronotanatognose, sendo recomendado ao perito lançar mão de outros dados, o que permitirá conclusões mais consistentes.

7. As variações de temperatura corporal observadas na amostra estudada constituem-se em uma referência experimental sistematizada e confiável, por refletirem condições locais, com temperaturas ambientes variando entre 20 e 30oC.

8. Novos estudos tornam-se necessários como meio de assegurar a representatividade dos resultados obtidos. Isso leva à necessidade de produção de mais experimentos controlados, que gerem novos dados para comparação, o que deve ser objetivo de trabalhos futuros.

OBS.: O "software" pode ser obtido diretamente com o autor, que o enviará sem qualquer ônus para os interessados.

(NR: download no fim da página)

 

6. Summary

This study research has to objective to análise the behavior of the body’s temperature after death, and aim create parameters that can help the policeman experts on the situations in such: "time of death" is imprecindible to know.

It were observed the corporal body’s temperature in 42 (fourty-two) corpses, not identified, victim of violent death, and subsequently were sent to Legal Medical Department of Vitória – ES, Brazil, and all of those corpses the time of death were known. There were registred: the body’s temperature and ambient’s temperature at death time; the body’s temperature and ambient’s temperature when the corpses got in the Legal Medical Department.

The results were submit to statistical analisis.

 

7. Key words: Body’s cooling, Time of death, Chronotanatognosis.

 

8. Referências Bibliográficas

1. AL-ALOUSI, L.M., ANDERSON, R.A. Microwave thermography in forensic medicine. Police Surg., Glasgow, v.30, p.30-42, 1986.

2. ALCÂNTARA, H.R. Perícia Médica Judicial. São Paulo: Guanabara Dois, 1982.

3. BACCINO, E. et al. Outer ear temperature and time of death. Forensic Science International, v.83, n.2, p.133-146, Dez. 1996.

4. BURMAN, J. On the rate of cooling of the human body after death. Edinburgh Medicine J., v.25, 1880.

5. CARVALHO, H.V., Compêndio de Medicina Legal. São Paulo: Saraiva, 2ª. Ed., 1992.

6. CROCE, D., JÚNIOR, D.C. Manual de Medicina Legal. São Paulo: Saraiva, 2ª.ed., 1995.

7. CUNHA, M.S. Cronologia dos fenômenos cadavéricos em São Paulo. Tese, São Paulo, 1925.

8. DAVEY, J. Observations on the temperature of the human body after death. Res. Physiology Anatomy, London, v.1, 1839.

9. DE SARAM, G. Estimation of death by medical criteria. Forensic Med. J., v.4, p.4, 1957.

10. FÁVERO, F. Medicina Legal. Belo Horizonte: Editora Itatiaia Ltda, 10ª.ed., 1980.

11. FIDDES, F., PATTEN, T.A. Percentage method for representing the fall in body temperature after death. Forensic Med. J., v.5, p.2-15, 1958.

12. FRANÇA, G.V. Medicina Legal. Rio de Janeiro: Guanabara Koogan, 4ª.ed., 1995.

13. GOMES, H. Medicina Legal. Rio de Janeiro: Freitas Bastos Editora, 32ª.ed., 1997.

14. GUYTON, A.C. Tratado de Fisiologia Médica. Rio de Janeiro: Guanabara Koogan, 1969.

15. HENSLEY, B. Experiments on the temperature of bodies after death. The Medical Examiner, Philadelphia, v.2, p.149-152, 1846.

16. HENSSGE, C. Todeszeitchatzungen durch die mathematische beschriebung der rektalen Leichenabkuhlung unter verschiedenen Abkuhlungsbedingungen. Zeit Rechstmed, v.87, p.147-178, 1981.

17. HIRAIWA, K. et al. Estimation of postmortem interval from rectal temperature with the use of computer. Med. Sci. Law, v.20, p.115-125, 1980.

18. HIRSCH, C.S., MORRIS, R.C., MORITZ, A.R. Handbook of legal medicine. London: The C.V.Mosby Company, 5º.ed., p.16-21, 1979.

19. JAMES, W., KNIGHT, B. Errors in estimating time since death. Med. Sci. Law, v.5, p.111-116, 1965.

20. JOSEPH, A., SCHIEKELE, A. A general method for assessing factors controlling post-mortem cooling. Forensic Science J., v.15, p.364-391, 1970.

21. KNIGHT, B. The evolution of methods for estimating the time of death from body temperature. Forensic Science International, v.36, p.47-55, 1988.

22. LYLE, H., CLEVELAND, F. Determination of the time since death by heat loss. Forensic Sci. J., v.1, p.11-24, 1956.

23. MARSHALL, T. The cooling of the body after death. MD Thesis, University of Leeds, 1960.

24. McDOWALL, K.L. et al. The use of absolute refractory period in the estimation of early postmortem interval. Forensic Science International, v.91, p.163-170, 1998.

25. POLSON, C.J., GEE, D.J., KNIGHT, B. The essentials of forensic medicine. Oxford: Pergamon Press, 4ª.ed., p.3-17, 1985.

26. RAINY, H. On the cooling of dead bodies as indicating the lenght of time since death. Glasgow Med. J., v.1, p.323-330, 1868.

27. RENTOUL, E., SMITH, H. Glaister’s Medical Jurisprudence and Toxicology. Edimburg: Churchill Livingstone, 1973.

28. RODRIGUES, A.C. Contribuição para o estudo do tempo de morte através da tonometria ocular. Tese, São Paulo, 1963.

29. SELLIER, K. Determination of the time of death by extrapolation of the temperature decrease curve. Acta Med. Leg. Soc., v.2, p.279-301, 1958.

30. SHAPIRO, H. Medico-legal mythology: the time of death. Forensic Med. J., v.1, p.1-159, 1954.

31. SIMONIN, C. Medicina Legal Judicial. Barcelona: Editorial Jims, 2ª.ed., 1966.

32. SIMONSEN, J.V. Determination of the time of death by continuous postmortem temperature measurement. Med. Sci. Law, v.17, p.112-121, 1977.

33. TAYLOR, A., WILKES, D. On the cooling of the human body after death. Guy’s Hospital Rep., 1863.

34. WEBSTER, G. Postmortem temperature and the time of death. Crim. Law J., v.45, 1955.

35. WOMACK, F. The rate of cooling of the body after death. St. Bart’s Hosp. Rep., v.23, 1887.

 

Aplicativo da Tese para Download (MS DOS)     (Crono.zip - 82Kb)
tmp_cronotanosmsdos.gif (9355 bytes)

Aplicativo da Tese para Download (Windows)  (Cronotanos.zip - 105Kb)   +1 Progama IBEMOL

 

     

Instituto Brasileiro de Ensino e Pesquisa em Odontologia e Medicina Legal
®

  Instituto Brasileiro de Ensino e Pesquisa em Medicina e Odontologia Legal
Direitos Reservados 1997-2001 - Leia as Condições Legais - Consultores

mande um email com suas críticas e sugestões

 

Síntese do Site www.ibemol.com.br preparada para o CD-ROM FORENSE 2000  - APEMOL & IBEMOL